Leon Black Paid $158 Million to Epstein. FBI Testimony Alleged a Trafficking Ring. No Charges.

An FBI interview states Leon Black 'ran a sex trafficking ring,' flew a victim to Epstein's Florida home, and transferred $10 million to Epstein after forcing her to sign an NDA. A second victim — a 16-year-old — alleges Black violently raped her at Epstein's townhouse. Black paid $62.5 million to the U.S. Virgin Islands to make the government's claims disappear. The Manhattan DA found victims credible but filed no charges. At least 1,668 DOJ documents mention his name.

EpsteinGate.org — Investigations Desk|
Leon BlackJeffrey EpsteinGhislaine Maxwell
Deutsche Bank client briefing page showing Leon Black's name and portraitView source document
A DOJ-released Deutsche Bank client briefing identifies Leon Black and includes his portrait alongside details of his Apollo role and family office ties.DOJ File Transparency Act - EFTA01355668

The Billionaire No Prosecutor Would Touch

Leon Black, founder of Apollo Global Management and one of the most powerful figures in American finance, paid Jeffrey Epstein at least $158 million over five years [1]. An FBI victim interview states that Black "ran a sex trafficking ring" and introduced victims to Epstein, Ghislaine Maxwell, and Prince Andrew [2]. A second victim — a 16-year-old with Mosaic Down Syndrome — alleges Black violently raped her at Epstein's Manhattan townhouse in 2001 or 2002 [3]. The U.S. Virgin Islands government concluded that "Epstein used the money Black paid him to partially fund his operations in the Virgin Islands" — then let Black pay $62.5 million to make the claims disappear [4]. The Manhattan District Attorney's office investigated Black for sexual assault, found victims credible, and filed no charges [5]. The Senate Finance Committee later determined that Black's actual payments to Epstein totaled $170 million — $12 million more than previously known — and that the money directly financed Epstein's sex trafficking operations [6]. A billionaire paid $158 million to a convicted sex offender. The FBI documented victim testimony alleging he ran his own trafficking ring. Two separate government bodies investigated. Nobody filed charges. At least 1,668 DOJ documents mention Leon Black's name [1].

Settlement Agreement between Leon Black and the U.S. Virgin Islands showing $158 million in payments to Epstein's company Southern TrustView source document
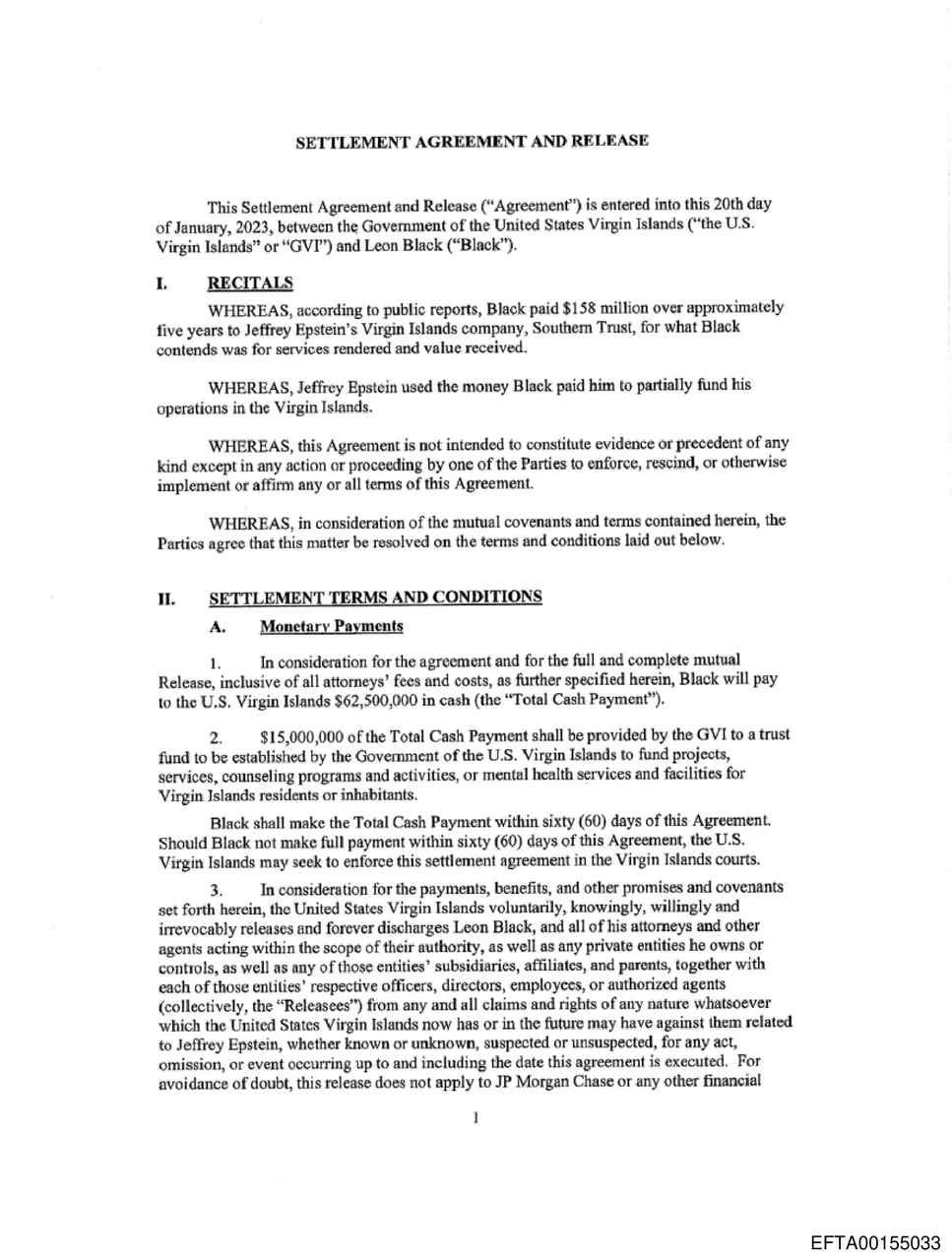
The settlement agreement's own language: 'Black paid $158 million over approximately five years to Jeffrey Epstein's Virgin Islands company, Southern Trust.' The next paragraph states Epstein used this money 'to partially fund his operations in the Virgin Islands.' Black paid $62.5 million to make the USVI's claims go away.DOJ File Transparency Act - EFTA00155032

The FBI Testimony: 'Black Ran a Sex Trafficking Ring'

On April 10, 2020, an FBI agent conducted a telephonic interview with a woman who said she met Leon Black in 2008 while modeling. The resulting FBI 302 — a standard interview memorandum — is one of the most disturbing documents in the Epstein corpus [2]. The victim told agents that Black "promised her drugs," "manipulated and sexually abused" her, and "used a lot of threats." She stated that Black flew her to Jeffrey Epstein's home in Florida, where both Black and an unidentified individual "were yelling at her, telling her that Epstein had a sex addiction" and that "if she did not have sex with him then something terrible would happen to her and it would affect her life" [2]. The victim did not have sex with Epstein on that occasion. She and Black left. But the FBI document continues with a sentence that stands alone in the Epstein files: "BLACK ran a sex trafficking ring." The victim told agents she "constantly tried to run away." That Black "hurt her more" when she resisted. That "every sexual encounter BLACK had with her was nonconsensual." Black told the victim "he was friends with the police, EPSTEIN and HARVEY WEINSTEIN" [2]. The document records that around 2014, the victim "felt sick and felt like she had been poisoned," and that "BLACK forced his way into her apartment and raped her." She fled the country. Black's associates followed her. In 2015, "BLACK told her that he would pay people to destroy her life." He told her "he had worked for the FBI." She signed a non-disclosure agreement with Black that fall [2]. The FBI also recorded that Black "transferred ten million dollars to EPSTEIN in or around 2015" and that "other women that [the victim] knew had been abused by BLACK were introduced to EPSTEIN" [2]. A separate FBI 302 from April 23, 2020 corroborates the same account [7].

FBI interview document EFTA00173803 detailing victim testimony about Leon Black running a sex trafficking ringView source document
The full FBI interview memorandum. Every redacted block is a victim's identity the government is protecting. The unredacted text names Leon Black, Jeffrey Epstein, Ghislaine Maxwell, Prince Andrew, and Harvey Weinstein.DOJ File Transparency Act - EFTA00173803

The FBI documented a victim's statement that Leon Black — a billionaire who paid $158 million to a convicted sex offender — 'ran a sex trafficking ring,' raped her, threatened to destroy her life, and introduced other abused women to Jeffrey Epstein. Nobody was charged. [2]

The Second Victim: A 16-Year-Old at Epstein's Townhouse

In January 2023, a second victim came forward to the Manhattan District Attorney's office. Internal DOJ emails from June 28, 2023 memorialize the details [8]. The victim told investigators she was introduced to Ghislaine Maxwell around 2001 or 2002, when she was 17, by a woman from her gymnastics studio in Northern Virginia. Maxwell and Epstein watched movies with her, told her to sit in Epstein's lap, and flew her between Palm Beach, St. Thomas, and New York [8]. On one occasion, the victim was driven from Virginia to Epstein's Manhattan townhouse. Epstein introduced her to Black by name — "Leon" — and told her she would give him a massage. What followed, according to the victim, was a violent sexual assault [8]. The internal DOJ memo states: "Black was very violent, tore her clothes off, bit her vagina, forced sex toys into her." The victim "needed medical attention, bleeding." Black "left her money on the table before he left the room." Epstein took the money [8]. The victim was 16 years old. She had Mosaic Down Syndrome [3]. A separate internal DOJ document — call notes from a conversation with Wigdor LLP attorney Jeanne Christensen on May 26, 2023 — records that "Black used adult sex toys in victim's rectum and vagina. Victim felt severe pinching in her vagina and began bleeding from her rectum; Black and others at Epstein's house would not take her to the doctor and instead flew her out of NY the next day" [3]. The victim was trafficked by Epstein and Black to at least 25 different men, according to the DOJ record [3]. She described Black as "looking like Shrek." When shown a photograph, she confirmed it was him [8].

Internal DOJ memo detailing second victim's testimony about Leon Black's violent sexual assault at Epstein's townhouseView source document
Internal DOJ emails from the FBI's Child Exploitation/Human Trafficking unit. The memo details a victim who was introduced to Maxwell at 17, driven to Epstein's townhouse, and violently assaulted by Leon Black. She needed medical attention. She was 16.DOJ File Transparency Act - EFTA02731662

"Black was very violent, tore her clothes off, bit her vagina, forced sex toys into her. She needed medical attention, bleeding. [Black] left her money on the table before he left the room." — Internal DOJ memo, June 28, 2023 [8]

The Manhattan DA: 'Credible' Victim, No Charges

The New York County District Attorney's office opened an investigation into Leon Black for a sexual assault that allegedly occurred in New York City in 2001. Internal DOJ emails dated June 9, 2023 contain detailed call notes from the investigation [5]. The DANY investigation found the victim credible, noting "the similarity in the sexual assault (biting)" across multiple accusers as a factor in their assessment [5]. The DA's office had medical and therapy records. The victim had been interviewed by zoom and phone. Her outcry — years later — was to her adopted mother and other family members [5]. But the notes end with a devastating line: "Charges seem unlikely but they are still investigating" [5]. No charges were ever filed. A separate email chain shows the US Attorney's Office (Southern District of New York) was coordinating with the FBI's Child Exploitation/Human Trafficking unit on the Leon Black investigation as late as July 2023. An AUSA wrote to an FBI special agent: "Do you have time for a call to discuss a victim who recently came to our attention with connections to the Epstein/Maxwell case? This victim has identified other potential traffickers" [9]. Multiple victims. Multiple government investigations. Medical records documenting injuries consistent with the allegations. The biting pattern independently corroborated across separate accusers. And the DA's own assessment: 'Charges seem unlikely.' Attorney Jeanne Christensen of Wigdor LLP wrote to the US Attorney's Office on July 21, 2023: "It has been discovered that Leon Black paid 62.5 million to USVI — and this does not include payments of money to individual women — it's outrageous that criminal charges have not been brought against him. I've heard one lawyer represents ten women that he sexually assaulted" [10]. Leon Black's attorney, Susan Estrich, has denied all allegations, calling them "false and fraudulent" [11].

DANY investigation call notes on Leon Black showing victim found credible but charges unlikelyView source document
The DA's own notes: the victim was found credible. The biting matched other accusers' accounts. They had medical records. Charges were 'unlikely.' This is what institutional failure looks like on paper.DOJ File Transparency Act - EFTA02731689

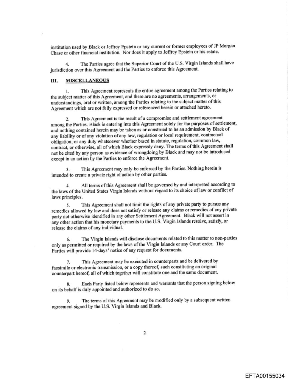
The Money: $158 Million to a Sex Trafficker's Company

Between 2012 and 2017, Leon Black paid approximately $158 million to Southern Trust Company, Jeffrey Epstein's corporate entity in the U.S. Virgin Islands [4]. Black's public position has been that the payments were for "services rendered and value received" — tax and estate planning advisory work [12]. An independent review by law firm Dechert LLP, commissioned by Apollo's board in 2021, confirmed the $158 million figure and characterized the payments as related to tax planning [12]. But the USVI settlement agreement tells a different story. Its own language states: "WHEREAS, Jeffrey Epstein used the money Black paid him to partially fund his operations in the Virgin Islands" [4]. The Senate Finance Committee, led by Senator Ron Wyden, later determined that Black's actual payments totaled $170 million — $12 million more than the Dechert review identified [6]. The Committee found that most of Southern Trust's revenue came from the fees Black paid, and concluded that "money paid by Black to Epstein was used to finance Epstein's sex trafficking operations" [6]. Leon Black was the primary revenue source for the company that the U.S. Senate says financed Epstein's trafficking. A major financial institution waited nearly seven years to report the transactions to the Treasury Department, potentially violating federal money laundering laws [6]. In January 2023, Black agreed to pay the USVI $62.5 million in cash to resolve all potential Epstein-related claims — buying himself immunity from criminal prosecution in the territory. Of that amount, $15 million was earmarked for a victim trust fund [4]. The settlement was negotiated while the USVI was considering a lawsuit that would have accused Black of directly aiding Epstein's sex trafficking operation through his payments to Southern Trust [13].

Page 2 of the USVI settlement agreement detailing mutual release terms between Leon Black and the governmentView source document
The release clause: the U.S. Virgin Islands 'voluntarily, knowingly, willingly and irrevocably releases and forever discharges Leon Black' from 'any and all claims' related to Jeffrey Epstein. The price: $62.5 million. The victims got $15 million for a trust fund. Black kept his freedom.DOJ File Transparency Act - EFTA00155032

Document Timeline

2001–2002

Second victim alleges Black raped her at Epstein's Manhattan townhouse when she was 16 years old

[3]
2008

First victim meets Leon Black while modeling; alleges abuse begins

[2]
2012–2017

Black pays $158 million to Epstein's Southern Trust Company

[4]
~2014

First victim alleges Black poisoned her and raped her in her apartment

[2]
~2015

Black threatens to 'pay people to destroy her life'; victim signs NDA; $10M transferred to Epstein

[2]
September 2014

Epstein emails list Black as a 'welcome guest' alongside former heads of state and intelligence officials

[14]
April 10, 2020

FBI telephonic interview: victim states Black 'ran a sex trafficking ring'

[2]
March 2021

Black steps down as CEO and Chairman of Apollo Global Management

[12]
January 20, 2023

Black signs $62.5 million settlement with U.S. Virgin Islands

[4]
May 26, 2023

Wigdor LLP attorney details second victim's allegations to DOJ prosecutors

[3]
June 9, 2023

DANY call notes: victim found 'credible,' charges 'unlikely'

[5]
June 28, 2023

AUSA memo details second victim's account to FBI Child Exploitation unit

[8]
July 21, 2023

Christensen emails DOJ: 'one lawyer represents ten women' Black sexually assaulted

[10]
July 2023

Senate Finance Committee launches investigation into Black-Epstein financial ties

[6]
September 2024

Federal judge denies Black's motion to dismiss Jane Doe rape lawsuit

[15]
February 2026

DOJ releases files containing the FBI testimony and DA investigation documents

[1]

The Network: Maxwell, Prince Andrew, Weinstein

The FBI testimony in EFTA00173803 does not describe Leon Black as a passive associate of Jeffrey Epstein. It describes him as a node in a trafficking network. The first victim told the FBI she "was introduced to GHISLAINE MAXWELL and PRINCE ANDREW, among others" through Black's connections to Epstein [2]. The victim stated that "other women that [she] knew had been abused by BLACK were introduced to EPSTEIN" — meaning Black was not only receiving victims from Epstein's network but also feeding victims into it [2]. Black told the victim "he was friends with the police, EPSTEIN and HARVEY WEINSTEIN" [2]. The second victim's testimony corroborates the Maxwell connection from a completely different angle. She described being introduced to Maxwell at 17, being flown between Epstein properties, and being handed off to Black at Epstein's townhouse for a violent assault [8]. An Epstein email from September 2014 lists Black alongside Peter Thiel, Larry Summers, former UK Prime Minister Gordon Brown, Bill Burns (then-CIA director), and leaders from Qatar, Dubai, and Mongolia as "welcome guests" [14]. The FBI's own Criminal Investigation Division summary — a document approved by the CID Assistant Director on July 17, 2024 — notes that the Manhattan DA investigated Black for "alleged ties to Epstein network" [16]. Despite all of this, the FBI concluded that Epstein was not running a sex trafficking ring for powerful men [17]. That conclusion sits uneasily next to their own interview transcript that states one of those powerful men "ran a sex trafficking ring" of his own.

Email from Wigdor LLP attorney Jeanne Christensen to DOJ stating Leon Black paid $62.5 million and one lawyer represents ten women he sexually assaultedView source document
Wigdor LLP partner Jeanne Christensen to the US Attorney's Office: 'One lawyer represents ten women that he sexually assaulted.' Criminal charges have not been brought.DOJ File Transparency Act - EFTA02731473

The FBI recorded that women abused by Black were 'introduced to Epstein.' Black paid $158 million to Epstein's company. The U.S. Senate says that money financed trafficking. The DA found victims credible. Ten women are represented by a single attorney. No criminal charges have ever been filed against Leon Black. [2] [4] [5] [6] [10]

What the Documents Don't Tell Us

The Epstein File Ranker corpus contains at least 1,668 DOJ documents mentioning Leon Black [1]. This investigation draws primarily on the most critical files — FBI interview transcripts, the USVI settlement agreement, DA investigation notes, and AUSA correspondence. But these documents have significant limitations. The FBI 302s record what victims told agents, not independently verified facts. The DANY investigation notes explicitly state there was "very little corroboration" and "no outcry witnesses until years later" [5]. Black's representatives have consistently denied all allegations of sexual misconduct. His attorney Susan Estrich has called the claims "false and fraudulent" [11]. Black pursued his own RICO lawsuit against former Apollo co-founder Josh Harris and accuser Guzel Ganieva, alleging a conspiracy to destroy his reputation — though a federal judge dismissed it as "glaringly deficient" [18]. The Ganieva defamation lawsuit was dismissed based on a 2015 NDA, upheld on appeal in January 2025 [19]. Not all of these documents have been fully processed through the ranking pipeline. Additional unprocessed volumes may contain evidence that adds context or contradiction to the findings presented here. One federal lawsuit remains active: Jane Doe v. Black (1:23-cv-06418, S.D.N.Y.), alleging Black raped a 16-year-old with Mosaic Down Syndrome at Epstein's townhouse. In September 2024, a federal judge denied Black's motion to dismiss, allowing the case to proceed toward trial [15]. The files linked below are the government's own records. Read them.

FBI Criminal Investigation Division summary document detailing the Epstein investigation timelineView source document
The FBI's own investigation summary, approved by the Criminal Investigation Division's Assistant Director. It references the Manhattan DA's investigation of Leon Black — and the FBI's broader conclusion that Epstein was not running a trafficking ring for powerful men.DOJ File Transparency Act - EFTA00172119

Frequently Asked Questions

How much did Leon Black pay Jeffrey Epstein?
Leon Black paid approximately $158 million to Epstein's Virgin Islands company, Southern Trust, between 2012 and 2017. The Senate Finance Committee later determined the actual total was $170 million and concluded the money directly financed Epstein's sex trafficking operations.
Was Leon Black charged with sex trafficking?
No. Despite FBI testimony from a victim stating Black 'ran a sex trafficking ring,' a Manhattan DA investigation that found a second victim credible, and at least ten women represented by a single attorney, no criminal charges have ever been filed against Leon Black. He paid $62.5 million to the U.S. Virgin Islands to resolve all potential Epstein-related claims.
What did the FBI victim interview say about Leon Black?
An April 2020 FBI interview records a victim stating that Black 'ran a sex trafficking ring,' flew her to Epstein's Florida home, and that every sexual encounter was nonconsensual. She said Black transferred $10 million to Epstein and forced her to sign an NDA. A second victim, who was 16 with Mosaic Down Syndrome, alleged Black violently raped her at Epstein's Manhattan townhouse.
Why did Leon Black step down from Apollo Global Management?
Black stepped down as CEO and Chairman of Apollo Global Management in March 2021 following scrutiny over his financial ties to Epstein. An independent review by Dechert LLP confirmed the $158 million in payments but characterized them as related to tax and estate planning.
How many DOJ documents mention Leon Black in the Epstein files?
At least 1,668 DOJ documents in the Epstein File Transparency Act corpus mention Leon Black, spanning FBI interview transcripts, the USVI settlement agreement, DA investigation notes, AUSA correspondence, and Epstein's internal email records.
Topics

Apollo Global Management · Sex Trafficking · Financial Flow · Settlement · +5 more